Автор: Денис Аветисян
Исследование гамма-излучения из пузырей Ферми проливает свет на механизмы ускорения и распространения космических лучей вблизи центра нашей Галактики.

Представленная модель удельной энергетической плотности межзвездного излучения 𝑢𝜆 в зависимости от длины волны 𝜆, основанная на данных popescu_radiation_2017, демонстрирует различия в спектральном распределении энергии в центре Галактики и на расстоянии 8 килопарсек над плоскостью Галактики, подчеркивая влияние звездного, пылевого и космического микроволнового излучения на энергетический баланс в различных областях космоса.
Анализ пространственно-спектральной морфологии пузырей Ферми указывает на необходимость пересмотра моделей распространения космических лучей из Галактического центра и предполагает возможность локального ускорения или альтернативных механизмов излучения.
Несмотря на значительный прогресс в изучении гамма-излучения, природа и источник энергии пузырей Ферми, простирающихся от центра Млечного Пути, остаются загадкой. В работе ‘Analysis and implications of the spatio-spectral morphology of the Fermi Bubbles’ представлен анализ морфологии и спектральных характеристик этих структур на основе десятилетних данных прибора Fermi/LAT. Полученные результаты указывают на то, что как адронические, так и лептонические модели могут объяснять наблюдаемое гамма-излучение, однако простые сценарии распространения космических лучей от центра Галактики представляются маловероятными. Какие альтернативные механизмы ускорения космических лучей или эмиссии гамма-квантов могут объяснить наблюдаемые особенности пузырей Ферми?
Отражения в Центре Галактики: Загадка Пузырей Ферми
В центре нашей Галактики наблюдаются гигантские симметричные структуры, известные как пузыри Ферми – значительная загадка современной астрофизики, требующая пересмотра моделей активности галактических ядер. Их обнаружение стало возможным благодаря данным Большого телескопа гамма-излучения.
Пузыри Ферми проявляются прежде всего в гамма-излучении, однако природа их происхождения и механизмы эмиссии остаются предметом дискуссий. Первоначальные наблюдения позволили определить их структуру, что подтолкнуло к исследованию связи с активностью в центре Галактики. Различные гипотезы включают всплески активности чёрной дыры Sagittarius A*, интенсивное звёздообразование или даже аннигиляцию тёмной материи.

Восстановленный поток гамма-квантов всенебесного диффузного излучения, не связанного с пылью, был получен на основе модели M2 из работы platz_multi-component_2023, при этом представленные данные соответствуют энергетическому интервалу с центром на 133 ГэВ, а логарифмическая шкала цветовой шкалы позволяет оценить интенсивность излучения, при этом черная линия отмечает визуально определенные границы источника, а белая пунктирная линия указывает на область исследования, ограниченную координатами −40° < ℓ < 40° и −60° < b < 60°.
Эти структуры, словно отражения скрытых процессов, напоминают о том, что любое предсказание – лишь вероятность, которая может быть уничтожена силой гравитации.
Гамма-излучение: Два Пути Объяснения
Существуют две основные модели объяснения гамма-излучения из пузыря Ферми: адронная и лептонная. Адронная модель предполагает взаимодействие космических лучей с газом, приводящее к распаду пионов. Лептонная модель акцентирует внимание на обратном комптоновском рассеянии, где высокоэнергетичные электроны рассеивают фотоны.
Обе модели зависят от распределения космических лучей, обычно описываемого степенным законом. Анализ показал, что спектр гамма-излучения уплотняется к краям пузыря, что не согласуется с предсказаниями о разрывах, связанных с охлаждением обратного комптоновского рассеяния или синхротронного излучения.

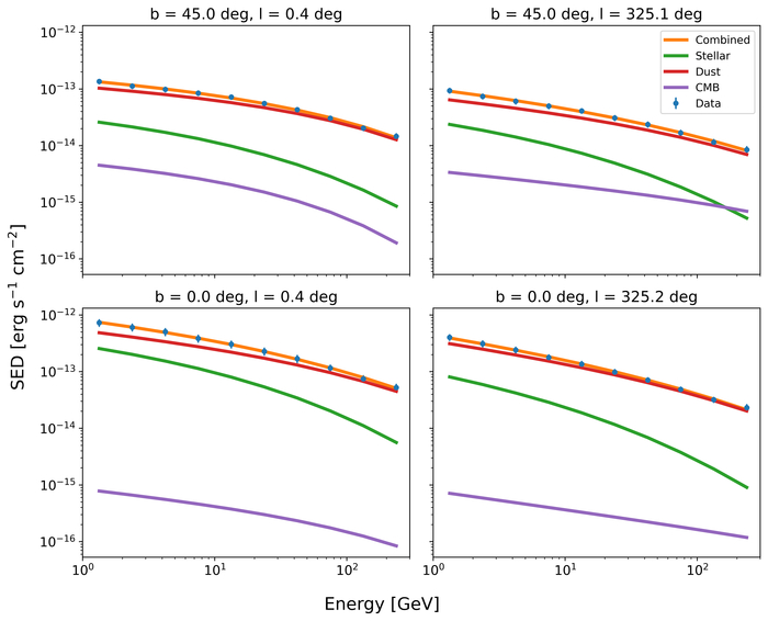
Вклад звездного (зеленый), пылевого (красный) и реликтового (фиолетовый) компонентов в общее гамма-излучение (оранжевая кривая наилучшего соответствия) для наилучшей лептонной модели в точках, обозначенных ‘a’ — ‘d’ на рисунке 1, показывает, что пылевой компонент вносит наибольший вклад во все исследованные области, за ним следует звездный компонент, ослабленный эффектом Клейна — Нишины, при этом вклад реликтового излучения остается незначительным.
Моделирование Окружающей Среды: Ключевой Шаг
Межзвёздное радиационное поле (ISRF) играет важную роль как в адронных, так и в лептонных процессах эмиссии, оказывая влияние на взаимодействие космических лучей. Точное моделирование ISRF – сложная задача, требующая использования данных Planck Map для представления фонового излучения. Вариации в плотности и спектре ISRF могут существенно изменять наблюдаемые характеристики гамма-излучения.
Для построения карт гамма-неба всё чаще применяются методы Template-Free Reconstruction, не требующие использования заранее заданных шаблонов. Эти методы позволяют повысить точность реконструкции, особенно в областях со сложной морфологией.

Наилучшее соответствие спектральным моделям, полученным для шести различных моделей, оцененных в точке b = 45° и l = 0.38° (обозначенной как ‘a’ на рисунке 1) в пределах источника, демонстрирует, что модели EPL и BPL превосходят модели PL как в адронном (слева), так и в лептонном (справа) случаях, что подтверждается соответствием между наблюдаемыми данными (синие точки с погрешностями) и вычисленным спектром излучения (черные, зеленые и красные линии).
Результаты исследований указывают на временной масштаб охлаждения космических лучей около 1 Мр на границах пузыря, что ставит под сомнение простые транспортные модели. Наблюдаемое время охлаждения требует пересмотра механизмов ускорения и распространения космических лучей в галактическом масштабе.
Многоволновое Подтверждение: За Гранью Гамма-Лучей
Наблюдения в рентгеновском диапазоне выявили структуры eROSITA Bubbles, пространственно совпадающие с пузырями Ферми.
Обратите внимание: Три самых интересных космических телескопа, запуск которых запланирован на ближайшее время.
Это совпадение предоставляет дополнительные доказательства в пользу общего происхождения этих масштабных структур. Анализ данных указывает на возможность единого физического механизма, ответственного за их формирование.Северный шпор, ранее идентифицированный как рентгеновская структура, теперь рассматривается как составная часть eROSITA Bubbles. Это позволяет пересмотреть понимание его природы и масштаба, предполагая, что он является лишь локальным проявлением более глобального явления.
Микроволновое свечение, впервые картированное с помощью WMAP, коррелирует с пузырями, что указывает на более широкое распространение этого феномена по всей плоскости Галактики. Оценка полной мощности, теряемой в виде адронного излучения, составляет 2.1 ×1038 эрг/с, что соответствует текущим скоростям звездообразования в ядре Галактики.

Оценка плотности энергии космических лучей, полученная для наилучшей лептонной (слева) и адронной (справа) моделей EPL, показывает зависимость от нормализации популяции протонов космических лучей относительно базового значения плотности числа атомов водорода (nH).
Эти масштабные структуры, обнаруженные в различных диапазонах электромагнитного спектра, свидетельствуют о сложной и динамичной активности в центре нашей Галактики. Подобно отражению в чёрной дыре, наше понимание Вселенной всегда ограничено горизонтом наблюдаемого, а каждая теория, какой бы убедительной она ни казалась, может исчезнуть в бездне неизвестного.
Исследование структуры и морфологии пузырей Ферми демонстрирует, как даже самые сложные модели могут оказаться несостоятельными перед лицом новых данных. Анализ гамма-излучения указывает на необходимость пересмотра существующих представлений о происхождении космических лучей, указывая на то, что простые модели переноса от центра Галактики маловероятны. Никола Тесла однажды сказал: «Самая большая сила — это вера в себя». Это утверждение находит отклик в научном поиске, где необходимость в альтернативных механизмах излучения и локальном ускорении частиц требует уверенности в возможности отказа от устоявшихся теорий ради более точного описания реальности. Пузыри Ферми, как и чёрные дыры, поглощают старые представления, заставляя переосмыслить границы познания.
Что дальше?
Анализ пространственно-спектральной морфологии пузырей Ферми, представленный в данной работе, лишь обнажает глубину нерешенных вопросов. Когда утверждается, что обнаружены ограничения на простые модели переноса космических лучей от центра Галактики, космос, кажется, едва заметно улыбается. Предположение о необходимости внутриместного ускорения или альтернативных механизмах излучения – это не триумф, а признание собственной неполноты. Мы не покоряем пространство – мы наблюдаем, как оно покоряет нас, заставляя пересматривать представления о происхождении и распространении космических лучей.
Дальнейшие исследования должны быть направлены не только на усовершенствование моделей переноса и ускорения, но и на поиск совершенно новых физических процессов, способных объяснить наблюдаемую картину. Игнорирование нелинейных эффектов, сложных магнитных полей и взаимодействия космических лучей с межзвездной средой – это все равно, что смотреть на черную дыру, закрыв глаза.
Каждая новая деталь, каждая уточненная карта излучения пузырей Ферми – это лишь временное успокоение. Чёрная дыра — это не просто объект, это зеркало нашей гордости и заблуждений. Когда мы называем это открытием, пузыри Ферми продолжают расширяться, поглощая наши теории в своем бесконечном горизонте событий.
Оригинал статьи: avetisyanfamily.com/tainstvennye-puzyri-fermi-novyj-vzglyad-na-proishozhdenie-kosmicheskih-luchej
Связаться с автором: linkedin.com/in/avetisyan
Больше интересных статей здесь: Космос.
Источник статьи: Галактические пузыри Ферми: новые данные о происхождении космических лучей.